Перейти к содержимому
Меню
AInewz
  • Новости
  • Бизнес
  • О нас
    • Помощь проекту
    • Политика конфиденциальности
  • Руслан Шавалеев
AInewz
Подключайся к партнёрам Яндекс Доставки
12.02.2024

Физики обнаружили поверхностные спин-орбитальные токи в рутенате стронция

Поверхностные спин-орбитальные токи

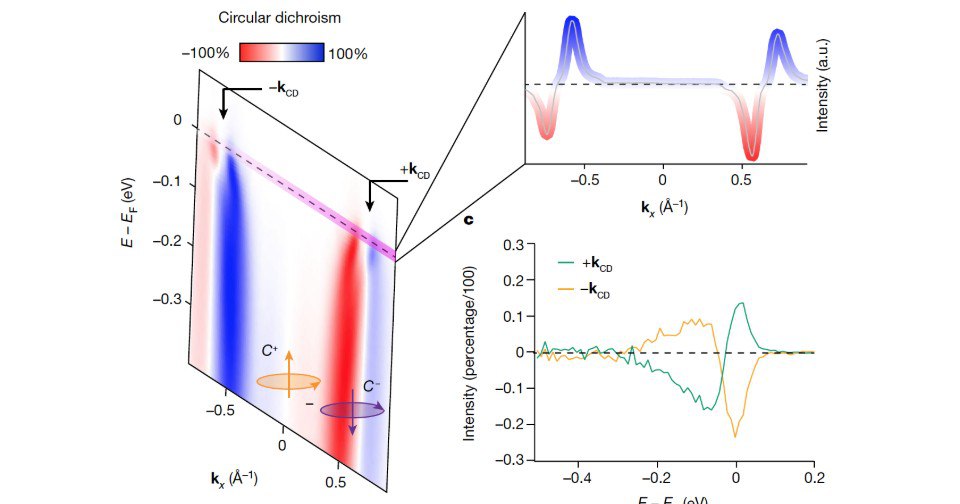
Рутенат стронция (Sr2RuO4) — это особый материал, который представляет интерес для физиков. В нём могут возникать необычные формы магнетизма, которые связаны с поверхностными спин-орбитальными токами (SOC). Чтобы исследовать эти токи, учёные разработали новый экспериментальный метод.

Новый метод

Этот метод заключается в использовании высокочастотного электрического тока, который создаёт магнитное поле на поверхности образца рутената стронция.

Это магнитное поле воздействует на электроны в материале, заставляя их двигаться по определённым направлениям. Эти направления связаны с направлением спина и орбитального движения электронов. И именно эти направления определяют поверхностные спин-орбитальные токи.

Таким образом, учёные могут использовать этот метод для исследования поверхностных спин-орбитальных токов в рутенате стронция и обнаружения их необычных свойств.

Понимание поверхностных спин-орбитальных токов важно для понимания магнетизма в сложных материалах. Это может помочь учёным создавать новые устройства и материалы с необычными магнитными свойствами, которые могут быть использованы в различных технологиях, таких как память с высокой плотностью, квантовые вычисления и спинтроника.

В этом исследовании, опубликованном в журнале Nature Physics, учёные из Стэнфордского университета и других исследовательских центров использовали новый метод для обнаружения поверхностных спин-орбитальных хиральных токов в рутенате стронция, что открывает новые перспективы для изучения магнетизма и магнетических материалов.

Вот некоторые выводы и последствия этого исследования:

1. Новый метод позволяет учёным изучать поверхностные спин-орбитальные токи с высокой точностью и разрешением, что может привести к новым открытиям в области магнетизма.

2. Исследование подчёркивает важность изучения поверхностных явлений в магнетических материалах, так как они могут играть ключевую роль в определении их свойств и применений.

3. Это исследование способствует дальнейшему развитию науки о магнетизме и может привести к разработке новых технологий, основанных на использовании поверхностных спин-орбитальных токов.

6

Недвижимость 2026: Почему «купить квартиру» больше недостаточно и как на этом не разориться

  • Business
  • Entertaining
  • Авто-мото
  • Без рубрики
  • Бизнес
  • Биохакинг
  • В мире
  • Викторина
  • Гороскоп
  • Дом и дача
  • Другие новости
  • Еда
  • Животные
  • Закон
  • Здоровье
  • Знаменитости
  • Игры
  • Интересное
  • Истории
  • История
  • Кино
  • Культура
  • Маркетинг
  • Мотивация и цитаты
  • Музыка
  • Наука
  • Недвижимость
  • Новости
  • Образ жизни
  • Образование
  • Общество
  • Опрос
  • Полезное
  • Происшествия
  • Психология
  • Путешествия
  • Развлекательное
  • Реклама
  • Рецепты
  • Саморазвитие
  • Спорт
  • Технологии
  • Транспорт
  • Финансы / AI-заработок
  • Шоу-бизнес
  • Экология
  • Экономика

Помощь и поддержка

  • Политика конфиденциальности
  • Помощь проекту
  • О нас
©2026 AInewz | Powered by WordPress and Superb Themes!